Щелевые решетки скрытого монтажа для натяжного потолка AR-F используются в системах вентиляции и кондиционирования в качестве конечного декоративного элемента инженерной системы в жилых, торговых, и офисных помещениях. Они обеспечивают подачу свежего или удаление загрязненного воздуха из помещений.
Конструкция профиля решетки предусматривает специальный паз с резиновым уплотнителем для установки натяжного полотна. После монтажа решетки, видимой частью в помещении остаются только щели.


Для подключения к системе воздуховодов диффузоры комплектуются камерой статического давления – КСД или КСР.
Камера статического давления является элементом систем вентиляции и кондиционирования воздуха, они обеспечивают равномерное распределение воздушных масс через сечение решетки. КСД состоит из стального корпуса с круглым патрубком для подсоединения к воздуховоду. КСР дополнительно оснащены устройством, регулирующим объем подаваемого воздуха, которое устанавливается во входном патрубке.

Уменьшенная камера статического давления позволяет максимально сохранить полезную площадь помещения за счет уменьшения монтажного пространства.
Размер монтажного пространства (W) напрямую зависит от размера подключаемого воздуховода – чем меньше воздуховод, тем меньше адаптер для диффузора. В каталоге приведены рекомендуемые размеры воздуховода, но по запросу заказчика возможно изготовить адаптер с любой врезкой.

Размер монтажного пространства W min в зависимости от подводящего воздуховода

Габаритно-посадочные размеры диффузора AR-F с КСД стандартной конфигурации
А – ширина щелей, В – высота щелей


Габаритно-посадочные размеры диффузора AR-F + уменьшенная КСД-У с круглой врезкой
А – ширина щелей, В – высота щелей

Габаритно-посадочные размеры диффузора AR-F + уменьшенная КСД-У-О с овальной врезкой
А – ширина щелей, В – высота щелей

Габаритно-посадочные размеры диффузора AR-F + уменьшенная КСД-У-П с прямоугольной врезкой
А – ширина щелей, В – высота щелей

Габаритно-посадочные размеры диффузора AR-F по длине щели (А, мм)

Щелевые решетки AR-F изготавливаются из экструдированного алюминиевого профиля АД31 по ГОСТ 22233-2018. По умолчанию корпус решетки окрашивается в стандартный белый цвет RAL9016М матовый, а внутреннее исполнение в чёрный цвет RAL9005М матовый. По индивидуальному заказу возможна окраска в любой цвет по шкале RAL. Статическая камера изготавливается из оцинкованной листовой стали 0,4 – 1,5 мм в зависимости от размера и пожелания заказчика. По умолчанию все изделия поставляются в неокрашенном виде.

Максимальные показатели производительности диффузора AR с выравнивателем потока воздуха и КСД в зависимости от генерируемого шума

Характеристики диффузора AR с выравнивателем потока воздуха и КСД в зависимости от скорости подаваемого воздуха

Максимальные показатели производительности диффузора с выравнивателем потока воздуха и КСД в зависимости от генерируемого шума

Характеристики диффузора AR с выравнивателем потока воздуха и КСД в зависимости от скорости подаваемого воздуха

Максимальные показатели производительности диффузора с выравнивателем потока воздуха и КСД в зависимости от генерируемого шума

Характеристики диффузора AR с выравнивателем потока воздуха и КСД в зависимости от скорости подаваемого воздуха
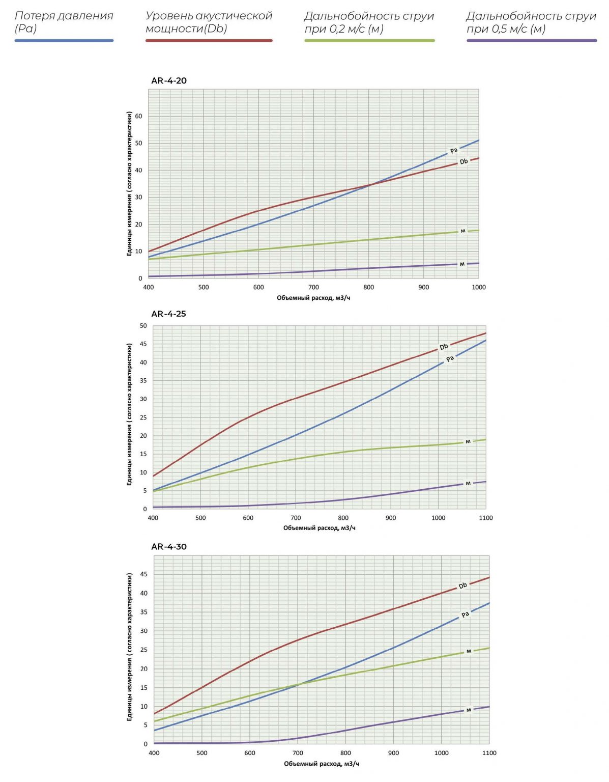
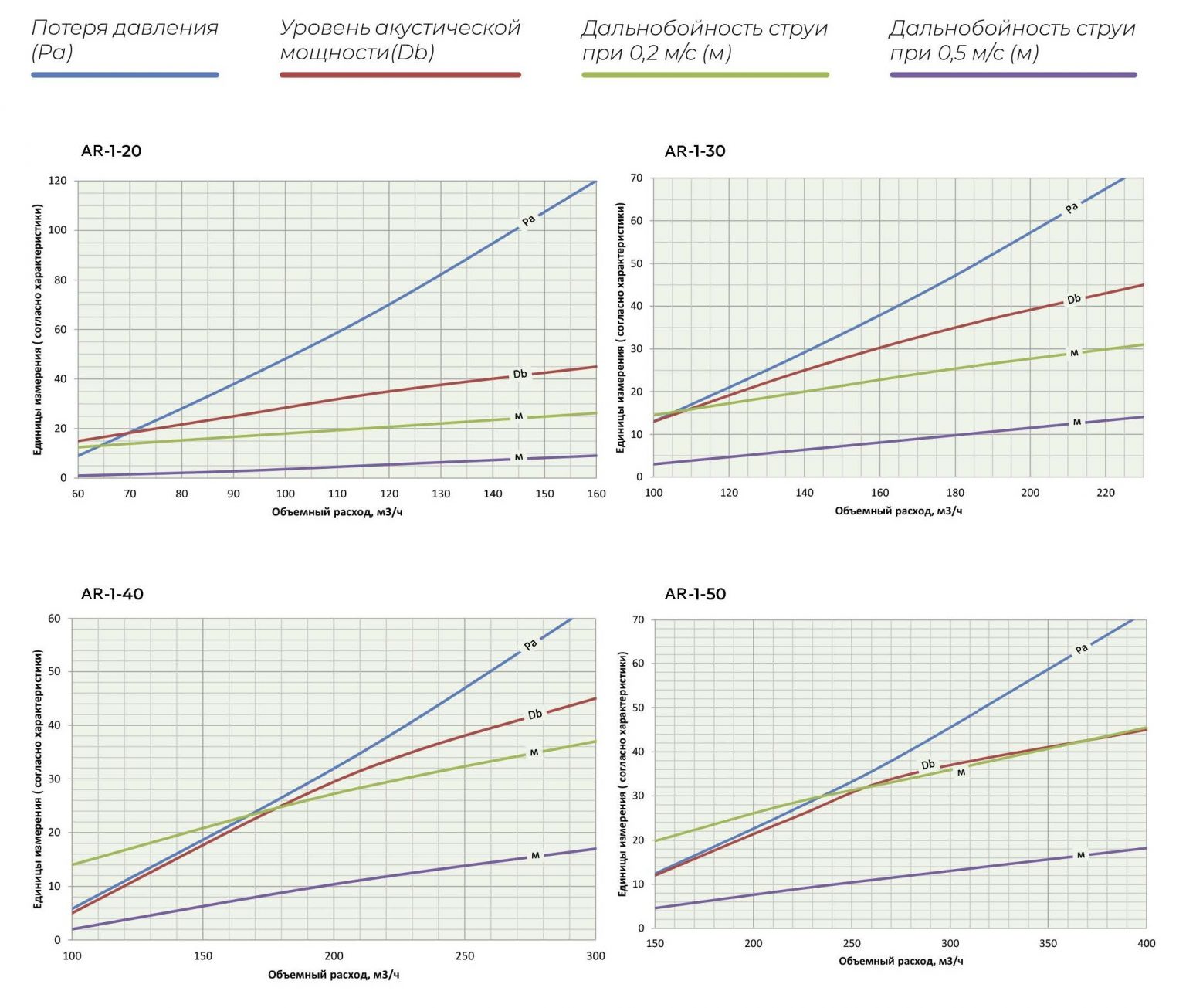
Графики аэродинамических и акустических характеристик диффузора AR (А=1000 мм) в зависимости от объема подаваемого воздуха, вертикальная струя

Графики аэродинамических и акустических характеристик диффузора AR (А=1000 мм) в зависимости от объема подаваемого воздуха, вертикальная струя

Графики аэродинамических и акустических характеристик диффузора AR (А=1000 мм) в зависимости от объема подаваемого воздуха, вертикальная струя

Графики аэродинамических и акустических характеристик диффузора AR (А=1000 мм) в зависимости от объема подаваемого воздуха, вертикальная струя

Графики аэродинамических и акустических характеристик диффузора AR (А=1000 мм) в зависимости от объема подаваемого воздуха, настилающая струя

Графики аэродинамических и акустических характеристик диффузора AR (А=1000 мм) в зависимости от объема подаваемого воздуха, настилающая струя

Графики аэродинамических и акустических характеристик диффузора AR (А=1000 мм) в зависимости от объема подаваемого воздуха, настилающая струя

Графики аэродинамических и акустических характеристик диффузора AR (А=1000 мм) в зависимости от объема подаваемого воздуха, настилающая струя

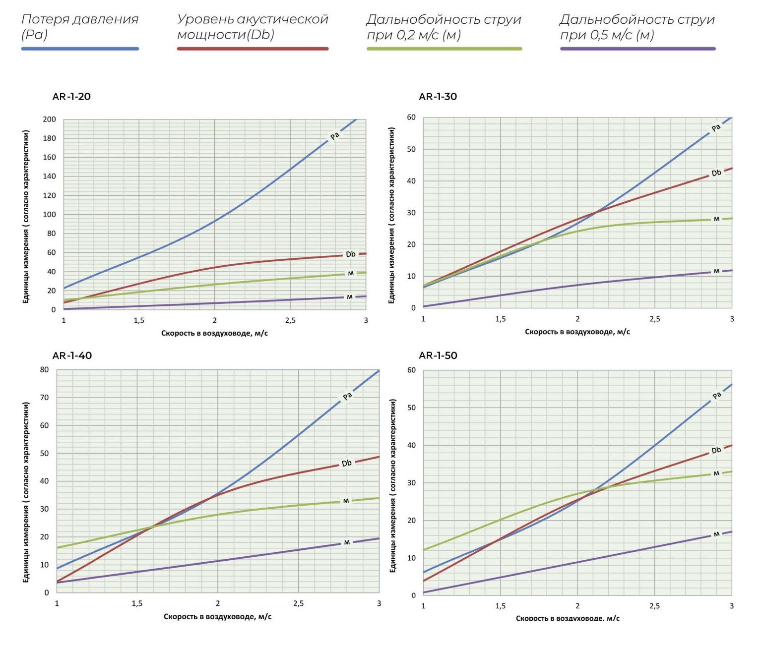
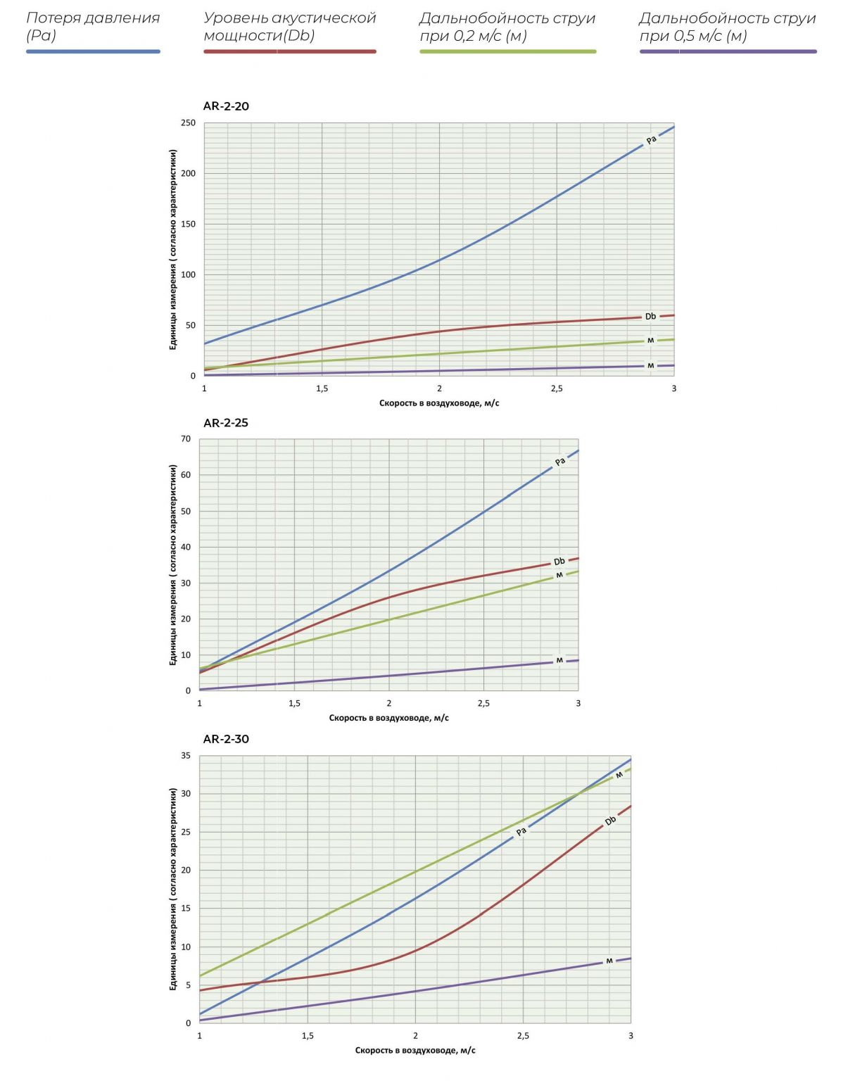
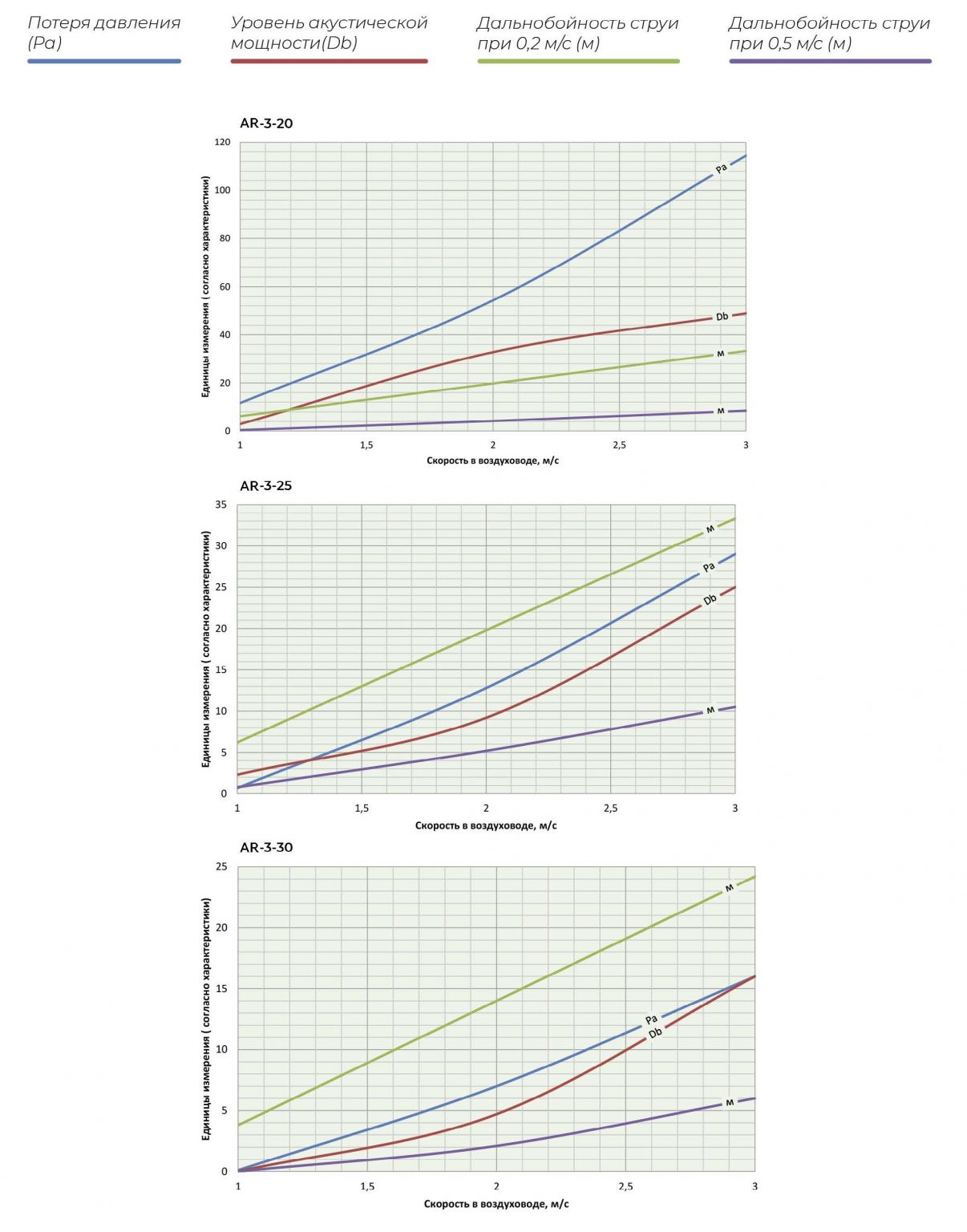
Графики аэродинамических и акустических характеристик диффузора AR (А=1000 мм) в зависимости от скорости воздуха в воздуховоде, вертикальная струя

Графики аэродинамических и акустических характеристик диффузора AR (А=1000 мм) в зависимости от скорости воздуха в воздуховоде, вертикальная струя

Графики аэродинамических и акустических характеристик диффузора AR (А=1000 мм) в зависимости от скорости воздуха в воздуховоде, вертикальная струя

Графики аэродинамических и акустических характеристик диффузора AR (А=1000 мм) в зависимости от скорости воздуха в воздуховоде, вертикальная струя

Производитель имеет право без предварительного уведомления вносить в изделие изменения, которые не ухудшают его технические характеристики, а являются результатом работ по усовершенствованию его конструкции или технологии производства.
Графики аэродинамических и акустических характеристик диффузора AR (А=1000 мм) в зависимости от скорости воздуха в воздуховоде, настилающая струя

Графики аэродинамических и акустических характеристик диффузора AR (А=1000 мм) в зависимости от скорости воздуха в воздуховоде, настилающая струя

Графики аэродинамических и акустических характеристик диффузора AR (А=1000 мм) в зависимости от скорости воздуха в воздуховоде, настилающая струя

Графики аэродинамических и акустических характеристик диффузора AR (А=1000 мм) в зависимости от скорости воздуха в воздуховоде, настилающая струя


Производитель имеет право без предварительного уведомления вносить в изделие изменения, которые не ухудшают его технические характеристики, а являются результатом работ по усовершенствованию его конструкции или технологии производства.
При заказе диффузора с камерой статического давления, определяющими размерами являются размеры диффузора, поэтому в примере заказа не указываются. По требованию возможно изготовление КСД по чертежам заказчика.

Производитель имеет право без предварительного уведомления вносить в изделие изменения, которые не ухудшают его технические характеристики, а являются результатом работ по усовершенствованию его конструкции или технологии производства.
Цена по запросу
Оставьте заявку на обратную связь и мы поможем с подбором необходимого оборудования и с консультацией