В зависимости от внутренней конструкции встраиваемые щелевые диффузоры делятся на 6 видов:
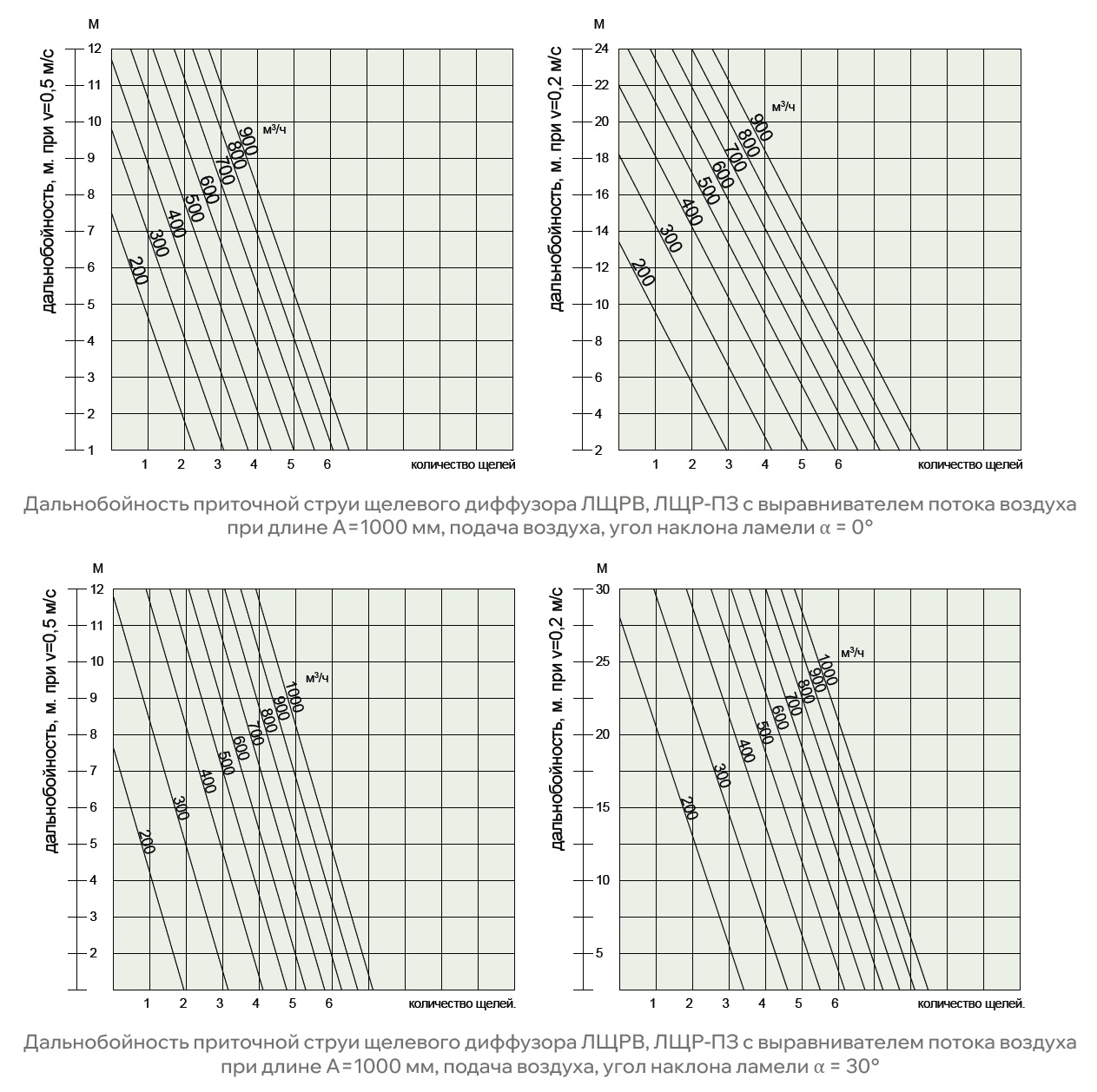
Возможное количество щелей от 1 до 10.
Отличительным признаком встраиваемых решеток серии ЛЩР является то, что после монтажа рамка решетки остается видимой, закрывая проем.
Минимальные рекомендуемые размеры 150х50 мм
Максимальные рекомендуемые размеры 3000х240 мм
Кроме стандартных типоразмеров возможны индивидуальные - по размерам заказчика с шагом 1 мм.



Для подключения к системе воздуховодов диффузоры комплектуются камерой статического давления - КСД или КСР.
Камера статического давления является элементом систем вентиляции и кондиционирования воздуха, они обеспечивают равномерное распределение воздушных масс через сечение решетки. КСД состоит из стального корпуса с круглым патрубком для подсоединения к воздуховоду. КСР дополнительно оснащены устройством, регулирующим объем подаваемого воздуха, которое устанавливается во входном патрубке.
Камеры статического давления с овальной и прямоугольной врезками позволяют уменьшить монтажное пространство и тем самым максимально сохранить полезную площадь помещения.
Размер монтажного пространства (W) напрямую зависит от размера подключаемого воздуховода - чем меньше воздуховод, тем меньше адаптер для диффузора. В каталоге приведены рекомендуемые размеры воздуховода, но по запросу заказчика возможно изготовить адаптер с любой врезкой.

Монтаж решетки производится после финишной отделки потолка. С помощью винтового соединения решетка устанавливается к закладным деталям в КСД через подвижные крепежные элементы на тыльной стороне решетки.
В случае монтажа непрерывной конструкции необходимо устанавливать в места соединения выравнивающие пластины-коннекторы (поставляются в комплекте с составными секциями). Коннекторы крепятся с помощью заклепок 4х6.
Чтобы верно определить посадочный размер, необходимо воспользоваться расчетом по чертежам определенного типа решетки в данном каталоге.

А - ширина строительного проема,
В - посадочный размер диффузора по высоте

А - ширина строительного проема,
В - посадочный размер диффузора по высоте

А - ширина строительного проема,
В - посадочный размер диффузора по высоте

А - ширина строительного проема,
В - посадочный размер диффузора по высоте













Производитель имеет право без предварительного уведомления вносить в изделие изменения, которые не ухудшают его технические характеристики, а являются результатом работ по усовершенствованию его конструкции или технологии производства.
При заказе диффузора с камерой статического давления определяющими размерами являются размеры диффузора, поэтому в примере заказа не указываются. По требованию возможно изготовление КСД по чертежам заказчика.


Цена по запросу
Оставьте заявку на обратную связь и мы поможем с подбором необходимого оборудования и с консультацией